编辑:物联网工程学院
发布时间:2024-05-07
浏览次数:
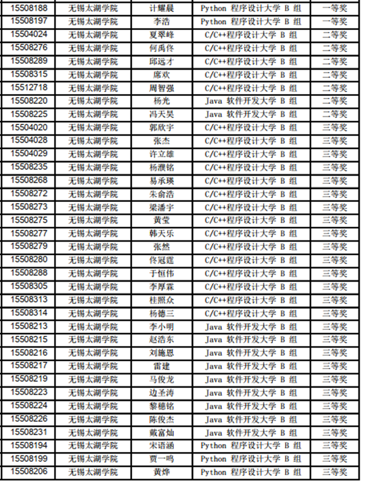
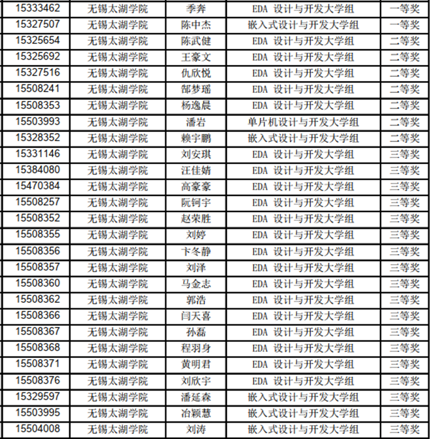
近日,由工业和信息化部人才交流中心主办的第十五届蓝桥杯全国软件和信息技术专业人才大赛省赛获奖名单公布。我院与来自北京大学、清华大学、复旦大学、上海交通大学等1900多所高校的23万名选手同台竞技,在C/C++、Java、Python、单片机、嵌入式、物联网、EDA等八大竞赛科目中进行了激烈比拼,斩获了一等奖4项,二等奖14项,三等奖42项。其中计耀晨、李浩等同学获得软件类C/C++程序设计一等奖;黄伟军、刘炜坤等同学获得Python组一等奖;陈中杰等同学获得嵌入式组一等奖;季奔等同学获得EDA设计与开发一等奖。

“蓝桥杯”大赛由工业和信息化部人才交流中心、教育部全国高等学校学生信息咨询与就业指导中心联合举办、国信蓝桥教育科技(北京)股份有限公司承办的一项全国高校大学生IT学科竞赛,是国内权威性高、覆盖面广、影响力大的IT类专业赛事。已连续五年入选“全国普通高校大学生竞赛排行榜”竞赛项目榜单,是教育部认可的重点赛事之一,也是评价高校教育教学改革和创新人才培养的重要竞赛项目。
物联网工程学院坚持通过各类学科竞赛培养创新人才,不断创新教学模式激发学生对程序设计、电路设计和单片机开发的兴趣,培养学生的创新思维、竞争意识与实践能力。此次佳绩,彰显了学院过硬的教学实力,践行了以赛促学、以赛促教的理念,促进了教学内容与职业需求的有效对接,不断深化新工科人才培养的特色路径。


为统筹推进学院学生工作提质增效,筑牢校园安全防线,精准部署就业服务与日常管理重点任务,近日,物联网工程学院学工队伍召开专题学工例会。学院党总支副书记沈峰主讲并作全面工作部署,荣巷派出所驻校民警周警官受邀参会,为学院全体辅导员开展反诈宣传与安全答疑。全体学工人员、辅导员参加会议。会上,沈书记围绕学生思想引领、安全稳定、反诈教育、就业推进、日常管理等重点工作进行系统安排。他强调,全体学工人员要提高政治站位,...
为部署新学期重点任务,进一步凝聚发展合力,推动学院事业高质量发展,beat365正版唯一官网文法学院于2026年3月5日下午在6号楼121会议室召开全体教职工大会。会议系统部署了新学期学院工作安排与发展规划,由文法学院副院长(主持工作)黄旭、副院长刘荔、副院长吴旻昊及党总支副书记徐涵主持,文法学院全体教职工参加会议。会议首先围绕新学期总体工作规划展开。黄院长从提升学科建设水平、优化人才培养成效、强化师资队伍建设三大重点方向,...
春节余韵未散,元宵佳节甜香尚浓,寒假结束后,beat365正版唯一官网文法学院师生陆续返校,带着节日的喜悦和新年的期许,开启2026春季学期的新征程。开学之初,学院统筹部署,多措并举,确保学生返校平稳、教学有序:学工部门召开工作部署会议,明确辅导员职责与工作重点;书记与辅导员深入宿舍走访,关心学生返校和生活情况;召开系主任会议,细化教学安排、明确学期工作重点;学院领导联合各系主任开展查课,保障开学首周课堂秩序和教学质量。...